Quien Invento Los Productos Notables
Dos de los productos notables más conocidos son entonces -como dijimos- cuadrado de un binomio y producto de binomios conjugados. Las Identidades Notables son herramientas o fórmulas muy importantes en forma práctica para facilitar la resolución de problemas algebraicos.

Cocientes Notables Y Sus Propiedades Ciencias Basicas
Productos notables Es el nombre que reciben multiplicaciones con expresiones algebraicas cuyo resultado se puede escribir mediante simple inspección sin verificar la multiplicación que cumplen ciertas reglas fijas.

Quien invento los productos notables. Los Sumerios Entre el siglo IV y el año 2300 ac. Construcción sustantiva formada por un sustantivo masculino plural productos y un adjetivo masculinofemenino plural notables. Productos notables es el nombre que reciben multiplicaciones con expresiones algebraicas cuyo resultado se puede escribir mediante simple inspección sin verificar la multiplicación que cumplen ciertas reglas fijas.
Si tienes alguna duda o pregunta recuerda que puedes contactarnos. Multiplicar dos polinomios entre sí si tienen más de tres. Siglos antes los turcos ya aplicaban ese método.
Su aplicación simplifica y sistematiza la resolución de. Deja de creer mentiras sobre quién eres para que te conviertas en quien deberías ser Rachel Hollis 45 Gratis. Productos Notables ejercicios resueltos PDF.
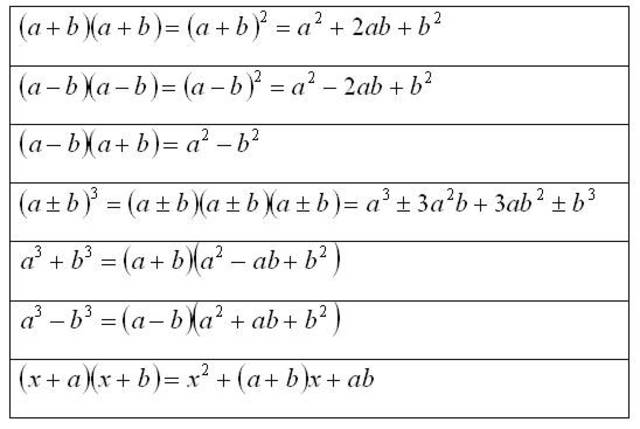
Productos notables es el nombre que reciben multiplicaciones con expresiones algebraicas cuyo resultado se puede escribir mediante simple inspección sin verificar la multiplicación que cumplen ciertas reglas fijas. Los productos notables también llamadas identidades notables son polinomios de dos términos binomios elevados al cuadrado o el producto de dos binomios como veremos más adelante cuyo desarrollo siempre sigue las mismas reglas. Los Productos Notables o Identidades Notables son los resultados de ciertas multiplicaciones que se obtienen de forma directa sin necesidad de aplicar la propiedad distributiva esto es por la forma que representan.
Newton es el creador del binomio de newton un producto notable que resuelve la suma o la resta de dos monomios al cuadrado. Su aplicación simplifica y sistematiza la resolución de muchas multiplicaciones habituales. DATOS HISTÓRICOS DEL ÁLGEBRA Y PRODUCTOS NOTABLES.
Amiga lávate esa cara. Qué son los productos notables o identidades notables Qué son los productos notables. Que se utiliza para aproximar el valor de π.
Aquí les dejamos una serie de ejercicios propuestos para que puedan practicar la idea es que imprimas esta separata y pongas a prueba todo tu conocimiento. Aprendamos los principales productos notables binomio al cubo binomio al cuadrado diferencia de cuadradostrinomio al cuadrado y aprendamos a de una man. Historia Personajes Sir Isaac Newton Nació en 1643 en Londres y murió en 1727 en la misma ciudad a los 84 años.
Truman Capote quien solo fue cubano de apellido secó al sol de lo simple y directo el sonoro lenguaje que la orquesta de Martí había hecho cantable. Emerson Eggerichs 55 Gratis. Cuadrado de un binomio.
Su aplicación simplifica y sistematiza la resolución de. Amor y respeto - cuaderno de ejercicios Dr. Se sabía en Inglaterra.
Es un producto muy especial es decir el caso de un binomio que se eleva al cuadrado por tanto estamos hablando del caso en que un. Trinomio cuadrado perfecto binomios conjugados y diferencia de cuadrados etc y t ayudan a. Te propongo estudiarlos paso a paso.
Así inventó la vacunación. Productos Notables Nivel 1 Parte 1 by Matemath on Scribd. Se utilizan en la ingeniería civil pues ayuda a medir calcular y contar las áreas del perímetro también sirven para calcular la superficie del terreno.
Productos notables se llaman a resultados que estan por regla es decir ejemplo cuando ves ab 2 y sabes que es a2 2ab b2 regla del binomio al cuadrado perfecto ya que estas reglas t ayudan a no ser todo un procedimiento otros ejemplos serian. Cada producto notable corresponde a una fórmula de factorización. Pero si hoy se menciona su nombre difícilmente se lo recuerde más allá de su famosa fórmula de Wallis para el cálculo.
Los productos notables nos sirven para reducir procedimientos y para ahorrarnos algunos pasos a la hora de hacer operaciones. Versátil e influyente de la era pre-newtoniana. Los productos notables se utilizan en matemáticas específicamente en álgebra y cuya característica es que son productos cuyo resultado se obtiene sin tener que realizar la operación de multiplicar sino conociendo ciertas reglas fijas.
Historia De Productos Notables. FCarl Boyer en 1 pp 420-421 afirma que esta fórmula fue descubierta por Wallis lo que. En un manejo de cantidades aritméticas como 3 grado o 10 estamos estableciendo los valores relativos de las cantidades pero no sabemos si los 3 grados son bajo cero o si el dinero lo tenemos o lo debemos para eso utilizamos el signo de ó cuando esto ocurre tenemos Expresiones Algebraicas.
Con su escritura cuneiforme sexagesimal ya resolvían problemas de álgebra donde se trataban cantidades abstractas. 4000 BCE to 2300 BCE. Pitágoras de Samos HISTORIA DE LOS.
Productos Notables O Especiales Algebra Generalidades Ii
Que Son Los Productos Notables Tipos Y Ejemplos Utilidad Y Tipos Que Existen Estudianteo

Productos Notables Desde Cero Profe Andalon Youtube

Productos Notables O Especiales Algebra Generalidades Ii
Quien Invento Los Productos Notables Quora
Datos Historicos Del Algebra Y Productos Notables Timeline Timetoast
Datos Historicos Del Algebra Y Productos Notables Timeline Timetoast
![]()
Cocientes Notables Wikipedia La Enciclopedia Libre
Datos Historicos Del Algebra Y Productos Notables Timeline Timetoast

Productos Notables Binomio Al Cuadrado Ejercicio 1 Youtube

Cuadrado De La Suma De Dos Cantidades Productos Notables Youtube
Datos Historicos Del Algebra Y Productos Notables Timeline Timetoast

Productos Notables Binomio Al Cuadrado Ejercicio 1 Youtube

Definicion De Productos Notables Que Es Significado Y Concepto

Definicion De Productos Notables Que Es Significado Y Concepto





Posting Komentar untuk "Quien Invento Los Productos Notables"